Publications
2023 - Genetic and self-perceived ancestries in Argentina: Beyond the three-hybrid model
RUDERMAN, A.; LUISI, P.; PASCHETTA, C.; TEODOROFF, T.; PÉREZ, L.O.; DE AZEVEDO, S.; TRUJILLO-JIMÉNEZ, M.A.; NAVARRO, P.; MORALES, L.; PAZOS, B.; GONZÁLEZ-JOSÉ, R.; RAMALLO, V.
American Journal of Biological Anthropology
2022 - Reconstruction of Iberian ceramic potteries using generative adversarial networks
NAVARRO, P.; CINTAS, C.; LUCENA, M.; FUERTES, JM.; SEGURA, R.; DELRIEUX, C.; GONZÁLEZ-JOSÉ, R
Scientific Reports
2021 - SketchZooms: Deep multi-view descriptors for matching line drawings
NAVARRO, P.; ORLANDO, J. I.; DELRIEUX, C.; IARUSSI, E.
Computer Graphics Forum
2021 - Learning Feature Representation of Iberian Ceramics with Automatic Classification Models
NAVARRO, P.; CINTAS, C.; LUCENA, M.; FUERTES, JM.; DELRIEUX, C.; MOLINOS, M.
Journal of Cultural Heritage
2021 - The impact of socioeconomic and phenotypic traits on self-perception of ethnicity in Latin America
PASCHETTA, C; DE AZEVEDO, S; RAMALLO, V; CINTAS, C; PÉREZ, O; NAVARRO, P.; BANDIERI, L; SÁNCHEZ, M; ADHIKARI, K; BORTOLINI, M. C; FERRARA, G P; GALLO, C; BEDOYA, G; ROTHHAMMER, F; ALONZO, V; RUIZ-LINARES, A; GONZÁLEZ-JOSÉ, R
Scientific Reports
2021 - Bulsarapp: Interactive visual analysis for surname trend exploration
MORALES, L; NAVARRO, P.; CINTAS, C; GONZALEZ-JOSE, R; RAMALLO, V; DELRIEUX, C
IEEE computer graphics and applications
2020 - body2vec: 3D Point Cloud Reconstruction for Precise Anthropometry with Handheld Devices
TRUJILLO-JIMÉNEZ, M. A.; NAVARRO, P.; PAZOS, B. A.; MORALES, L. A.; RA- MALLO, V.; PASCHETTA, C.; DE AZEVEDO, S.; RUDERMAN, A.; PÉREZ, O.; DEL- RIEUX, C.; GONZALEZ-JOSÉ, R.;.
Journal of Imaging
2020 - An invincible memory: what surname analysis tells us about history, health and population medical genetics in the Brazilian Northeast
CARDOSO-DOS-SANTOS, A. C.; RAMALLO, V.; ZAGONEL-OLIVEIRA, M.; VE- RONEZ, M. R.; NAVARRO, P.; MONLLEÓ, I. L.; VALIATI, V. H.; DIPIERRI, J. E.; SCHULER-FACCINI, L.
Journal of Biosocial Sciencie
2019 - Mobile and Wearable Computing in Patagonian Wilderness
ALMONACID, S.; KLAGGES, M. R.; NAVARRO, P.; MORALES, L.; PAZOS, B.; PUIG- BÓ, A.; FIRMENICH, D.
Springer
2019 - Automatic feature extraction and classification of Iberian ceramics based on deep convolutional networks
CINTAS, C.; LUCENA, M.; FUERTES, JM.; DELRIEUX, C.; NAVARRO, P.; GONZÁLEZ JOSÉ, R.; MOLINOS, M.
Journal of Cultural Heritage
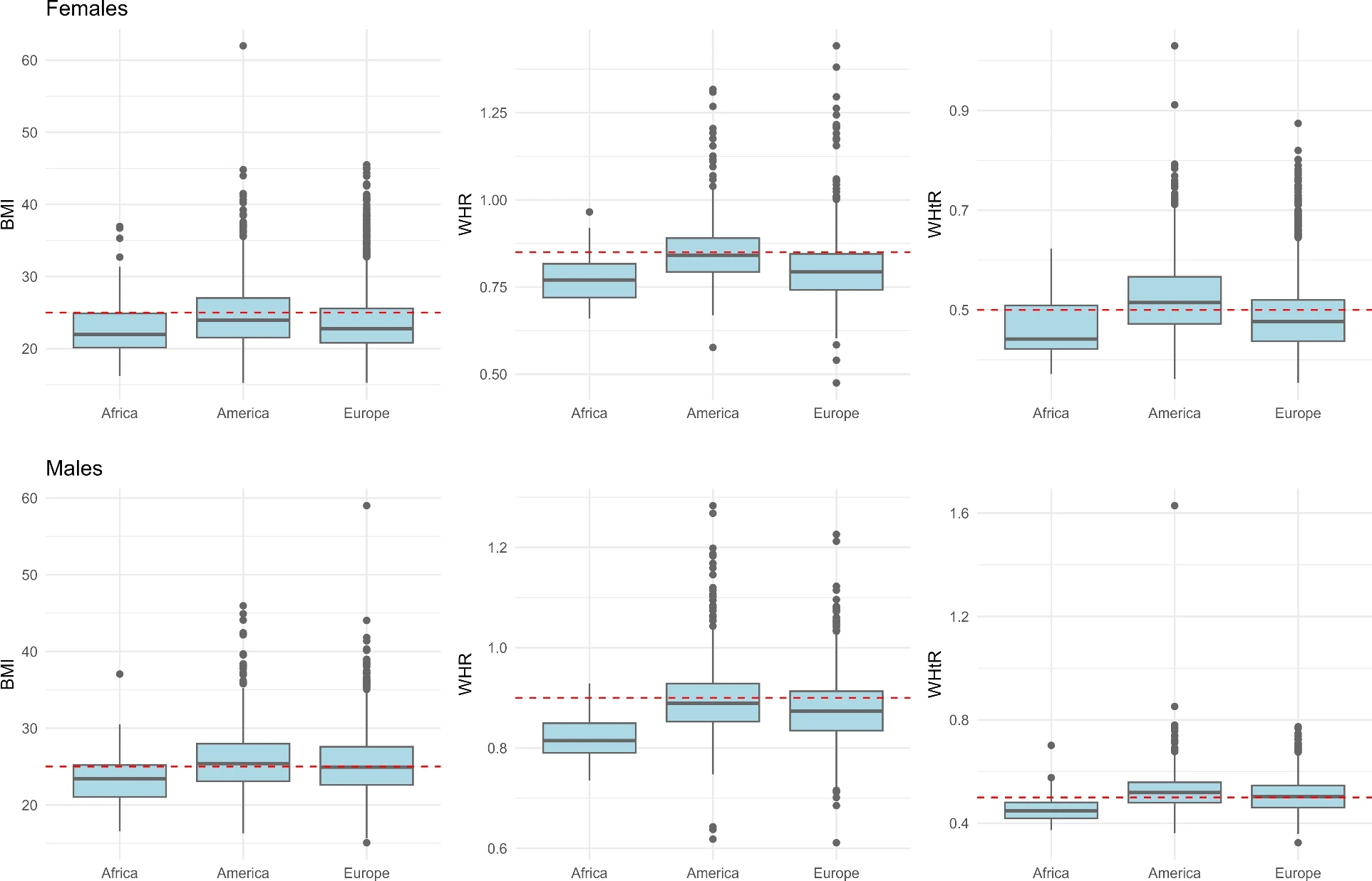
2019 - Body shape: Implications in the study of obesity and related traits
NAVARRO, P.; RAMALLO, V.; CINTAS, C.; RUDERMAN, A.; DE AZEVEDO, S.; PASCHETTA, C.; PÉREZ, O.; PAZOS, B.; DELRIEUX, C.; GONZÁLEZ JOSÉ, R.
American Journal of Human Biology
2017 - Nasal airflow simulations suggest convergent adaptation in Neanderthals and modern humans
DE AZEVEDO, S.; GONZÁLEZ, M.F.; CINTAS, C.; RAMALLO, V.; QUINTO- SÁNCHEZ, M.; MÁRQUEZ, F.; HÜNEMEIER, T.; PASCHETTA, C.; RUDERMAN, A.; NAVARRO, P.; PAZOS, B.A.; SILVA DE CERQUEIRA, C.C.; VELAN, O.; RAMÍREZ- ROZZI, F.; CALVO, N.; CASTRO, H.G.; PAZ, R.R.; GONZÁLEZ-JOSÉ, R.
Proceedings of the National Academy of Sciences of the United States of America











